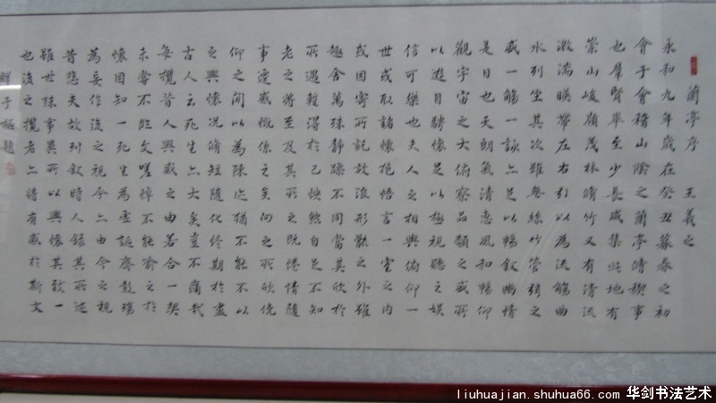
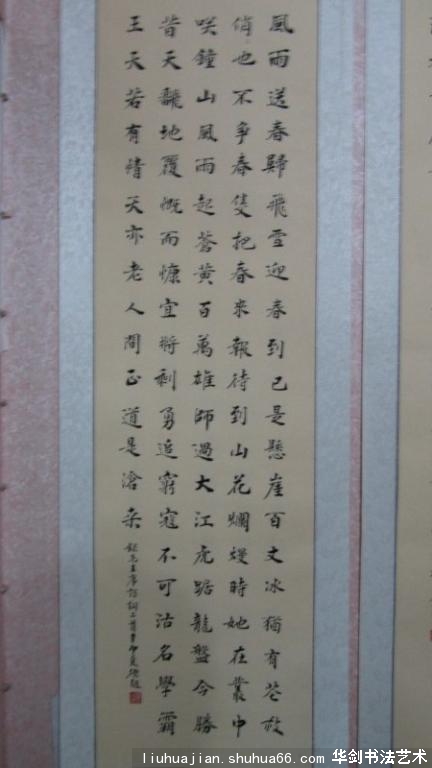
近日南京行的一大收获是我拜见了久仰的高德越老师,高老师的亲切朴实,爱人杨大哥的热情豪爽实让我们感动;但最感动我的还是高老师那摆满书画廊的各种书体:楷书端丽劲挺,行书清秀流畅,行草奔放有力,章草纵横崎岖,特别是那清雅劲畅的行楷书,典范于我喜爱的欧虞体;细看那苍劲的楷书里无不搏动着草书气韵,展露着书家恬淡洒脱的情怀,也诠释着高老师深厚的生活积淀和文化内涵!!
当今书家千千万万,大家名流挤满书坛,怪、力、乱体让人眼花缭乱,而眼前这出于古而又不泥于古的行楷书,对于我所见实是凤毛麟角!高老师——平凡中的传奇,质朴内的伟大!!!
因感动而拍摄多多,本说回来即上传,但因近日俗事压身,只有抽时间整理,至今始完备,真是歉意!
华剑随笔于辛卯桂月初三夜。















































发表评论 评论 (17 个评论)